Sur TikTok, X et YouTube, il y a désormais plus de contenus informationnels faux ou nuisibles que crédibles
Un contenu informationnel sur quatre sur TikTok est faux ou trompeur et susceptible de nuire au public. Facebook fait à peine mieux avec 15% des contenus relevant de la désinformation. Suivent YouTube (12%), X (11%) et Instagram (8%). Et si l'on inclue les contenus abusifs (insultes, discours haineux, etc.) et ceux dits "borderline" (tendancieux), les niveaux montent drastiquement : TikTok atteint 43% de proportion de contenus d’information problématiques, Facebook 34%, X 32%, YouTube 27%, Instagram 16%. LinkedIn se démarque avec "seulement" 4% de contenus problématiques. Précision importante : les posts relevant de l’opinion des gens entrent dans la catégorie "invérifiable" et ne sont donc pas jugés comme crédibles ou pas.
Si l'on exclut cette part de contenus non catégorisés, "trois plateformes, à savoir TikTok, X et YouTube, présentent désormais davantage de contenus problématiques que de contenus crédibles dans nos échantillons, contre une seule (X) lors de la première période de mesure", précisent les auteurs de l’étude révélée jeudi 19 mars par six organisations européennes, dont quatre organismes de fact checking, une plateforme technologique de collecte de données et l’Universitat Oberta de Catalunya (UOC). Réunis dans le cadre du projet SIMODS (l’équivalent en anglais de Indicateurs Structurels pour Mesurer Scientifiquement la Désinformation en ligne), géré par la Fondation Calouste Gulbenkian, ces organismes ont passé au crible, pour la deuxième fois, à l’automne/hiver 2025, six plateformes, à savoir Facebook, Instagram, LinkedIn, TikTok, X et YouTube, dans quatre Etats membres de l’UE : Espagne, France, Pologne et Slovaquie.
L’étude vérifie la crédibilité des informations dans cinq domaines : la santé, thème qui pèse le plus sur toutes les plateformes, avec 43% de l’ensemble des publications fausses ; la guerre en Ukraine (23%) ; la politique nationale (12%) ; la migration (8%) et le climat (6%). Comparé à la première vague, réalisée au printemps 2025, la proportion de la désinformation a augmenté de manière significative sur TikTok, de 5 points, et sur YouTube, de 3,5 points.
La prime à la désinformation
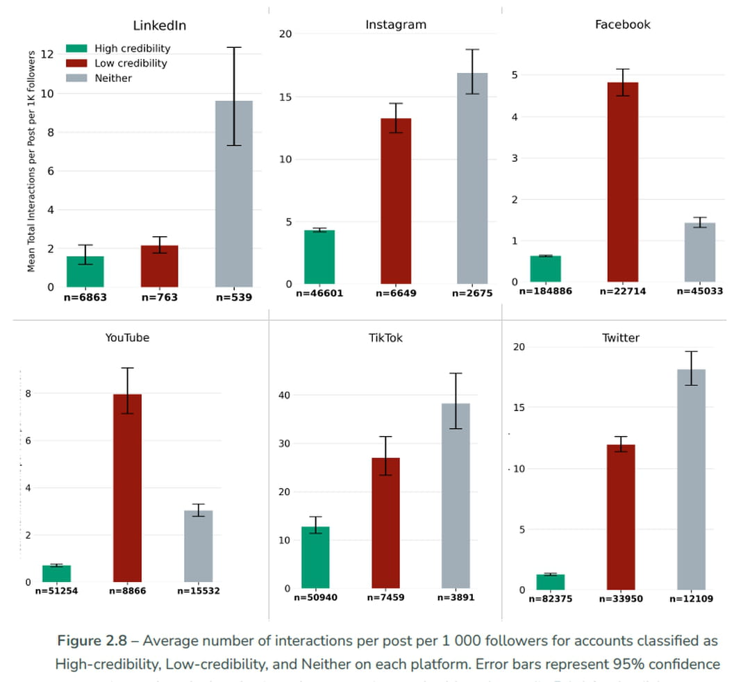
Le projet SIMODS s’intéresse également aux comptes les plus suivis sur ces plateformes. Or sur presque toutes les plateformes, les comptes catégorisés comme "peu crédibles" (relayant au moins deux posts de dés/mésinformation sur le mois) reçoivent l’engagement le plus élevé.
Sur X, par exemple, un compte diffusant régulièrement des informations fausses ou trompeuses reçoit environ 10 fois plus d’engagement par publication qu’une source crédible disposant d'un nombre comparable d'abonnés. Ce ratio est en hausse marquée comparé à la première vague. Même chose sur YouTube : il est passé de 8,5 à 11. Chez Facebook, un compte peu crédible reçoit 9 fois plus d’engagement qu’un compte crédible à nombre d’abonnés équivalent. "La seule plateforme où nous avons constaté qu’il n’y a pas de prime à la désinformation, c’est LinkedIn", précise Emmanuel Vincent, directeur de Science Feedback, association qui dirige le consortium.
Alors qui de l’œuf ou de la poule ? Est-ce la faute aux algorithmes ou au caractère polémique des contenus postés ? "Notre hypothèse est que les deux phénomènes s’alimentent dans un cercle vicieux : les contenus toxiques et clivants génèrent davantage de réactions et l’algorithme les pousse pour maximiser le temps passé sur la plateforme, ce qui est problématique", ajoute l’expert.
Sur X, les comptes peu crédibles voient croître leur audience à un rythme environ 3,5 fois supérieur à celui des comptes crédibles (les auteurs n’ont pas constaté le même phénomène sur les autres plateformes). "X semble favoriser l'expansion des comptes qui diffusent des contenus trompeurs", commentent les auteurs de l’étude.
Pour prendre la température de l’influence de la désinformation sur ces plateformes, les fact cherckers ont également voulu examiner la proportion de comptes peu crédibles par rapport aux comptes crédibles parmi les 50 comptes les plus populaires. Là encore TikTok est championne : c’est la plateforme présentant la plus forte proportion de comptes peu crédibles dans le Top 50 des créateurs les plus populaires, avec environ 34%, suivie de X, avec 26% puis par Facebook et YouTube, tous deux disposant de 23% des comptes du top 50 qui sont peu crédibles. La plateforme présentant la plus faible proportion de comptes peu crédibles est LinkedIn (2%).
Il est temps d'évoquer la monétisation : on apprend avec cette étude que sur YouTube 81% des chaînes analysées comme étant "peu crédibles" éligibles à la monétisation accueillent des campagnes publicitaires. C’est à peine moins que pour les chaînes hautement crédibles éligibles (monétisées à 90%).
IA et désinformation
Une des nouveautés de cette édition est la mesure de la désinformation générée par l’IA. Cet indicateur montre que sur les plateformes vidéo, le contenu généré par IA représente environ un quart de l’ensemble de la mésinformation identifiée sur TikTok (24%) et environ un cinquième sur YouTube (19%). "Pour un phénomène qui n’existait quasiment pas il y a quelques années, ces chiffres témoignent d’une croissance rapide et d’un risque significatif et croissant pour la qualité de l'information publique", analysent les auteurs de l’étude. Par ailleurs, la grande majorité de ce contenu ne porte aucun label : "Toutes plateformes confondues, seuls 16,5% des contenus de mésinformation générés par IA étaient visiblement identifiés comme synthétiques."
Les plateformes ne collaborent pas tout à fait
Pour réaliser son étude, le consortium a collecté environ 3 millions de posts abordant des contenus informationnels dans les cinq grands domaines étudiés, soit "quasiment tout ce qui a circulé durant le mois d’octobre 2025" sur ces sujets dans les 6 plateformes et les 4 pays étudiés. Un échantillon aléatoire de 500 publications par plateforme et par pays pondérées par le nombre de vues a été ensuite annoté et analysé et contrôlé dans les détails par huit fact checkers professionnels travaillant à plein temps pendant un mois. "Les 500 posts que nous avons analysés un par un représentent près de 2 milliards de vues, c’est considérable", précise Emmanuel Vincent, "c’est une approche innovante qui représente la diversité de ce que les gens voient sur les plateformes". L’analyse des 50 comptes les plus influents s’étale quant à elle sur plusieurs mois.
Un travail de titans qui n’a pas pu compter sur une collaboration active des plateformes concernées, à l’exception notable de LinkedIn : "Malgré des demandes formulées au titre de l’article 40.12 du DSA, seul LinkedIn a fourni l’échantillon aléatoire de publications demandé. TikTok et YouTube ont accordé un accès par API, ce qui a nécessité un effort supplémentaire pour produire des résultats comparables. Il s’agit pourtant de données publiquement accessibles : les obstacles qu’érigent les plateformes contre les chercheurs indépendants ne reposent sur aucune justification technique. Pour les données non publiques, notamment les données de monétisation, aucune plateforme n'a coopéré." Soutenu par le Fonds européen pour les Médias et l’Information, lui-même financé en grande partie par la Google News Initiative, l’initiative SIMODS prend fin et cherche de nouveaux financements pour être renouvelée (depuis l’arrivée de Trump au pouvoir aux Etats-Unis, Google a coupé le financement). L’étude complète est disponible sur ce lien.



